e ¤¢ ¯^ ¬w¶ 236462-E a ware elementary school atlanta ga
Ð > ø @ õ ø á @ · ø @ ö ø ä ú ø á ö ô !à  ô ¢ ø à å* ô £ · ¡ Ô Å Â ´ t Ì Ã Î ° Ç æ â ° Ô Ñ ´ ¨ u 7 Ö · î Þ r S I O9 ³ · ° t « ø ° t ³ è * â Ò Ù Ç ° à  ¹,#4 342 %NWD · MO 6QVCN 2QYGT â / 8 º ° Ô ¢ Ë S w £ u Ë è ´ » ÿ %QRTKIJVMt ah"» Ó~#» ÓUK b{R®x" ¯, t`oM b{ w Ô ÇÍ»¢ ï
A Created By Sony Kdl 55hx80r Kdl 46hx80r Kdl 40hx80r E 12 Kdl 60lx900 Kdl 52lx900 Kdl 46lx900 Kdl 40l 000 Kdl 52hx900 Kdl 46hx900 Kdl 46hx800 Kdl 40hx800 28
E a ware elementary school atlanta ga
E a ware elementary school atlanta ga-® w`l ¯ E ¯ gÄw¿ æ ÿ^ ¯Û{áÇ ¯ T ` q w s ® b ¦ è q \ s q w  tè·ï» w Õp b K{y y Ô Ô ç w` ó è w Ê tm Mo\Oq¥Ot¸ `h Ð Ots Ï tèt E pÆ `oMp`T Ï q Ôwò®x sMqßQ Aqb w ` Ú X\q ò  ó o é`oX ZUsM Ð §q`o iw tq ó ox çâ> µ â> Û ¯t ¯· â>8 ¢ ït ft{ ¬¨ â> Û Ï ¯ Ç ¨u ~ w *t â> · Ò 10 0 º t â>ÛÕÓ 4lËm ¯ Ótâ ¶ \ tè î8tQ B Kt Kv ®ñ³²· â>b Æ Ëʯ ¯ ¸ ÕÔ N´t/ º 23 0 · ¿ { W δ âÛ ¢Ô f½ ù_¾I S Ñ Ï¸t SI þ´v · â ÆÛ ³ Ô



2701 Party Box Karaoke Rf Exposure Info According To A 15 Bulk Unlimited
MitêedemÁtemzugÅineÁnleitungúurÍeditat„P " ÃpÌðŠU€V1ïut Á"` Ê"'sœ¸c„c{ lic˜es/bync/ /deeddŽwI£Pù ´ ± ¬ W ß ï 8 ) 3 W ± · ½ ó / º 0 G O Ì Ë 7 ò " 8 · ¨ 7 * · ñ ü e ´ Ì e 7 æ c m ´ Ì f ¢ â í % % , 8 ÿ 8 ³ · & ó £ t Ì f ¢ â í % % , 8 ÿ 8 Ó · & ó £ 7 L û } G ´ µ ^ , Û Ü $ 7 û ú Þ · 1 ñ ´ µ ^ , Û Ü $º ý âãéîóôÀäïèï®áã®êð á I B ú â K â ý ý ý ý ý É A & ;
¬ W é » M 0 Ó $ î B Â Ô Ú Ö ¶ ûC s Ú \Ø $# þ ¯ s « è\Ø L ¬ W é » M 0 ± A ^ H { é ¬ W é » M 0 Ó $ î ¼ Ê Ö B Â Ô Ú V ¶ û C s $# þ ¯\Ø > s Ä 2 ¾ ± ¾ ² ¾ ¯ Ø ´ h ¬ W é » M 0 ô j s { é Ä\Ø Á ¥ s æ Ï\Ø L\Ø ^ H C Ü\â\Ø \§ $ · 5 ö\Ø Id \¨ ³ ¾ ¬ Wò M À = !· n% h $ >Þ>ß >Ü>ä>à>Ù>å>á>ß>Ù>ä>å>ã>ãe e e e e e e e e e e e e e e >þ>à>Ú>ß>Ú>à >ß>à>Ì>Ý>Ì>Þ>Ü>ã>Ì>Ü>Ü>ß>á >ô>Þ>å>Ú>ß>Ú>á 4 ' &k $ d&k & £ w !#ëH $ >Þ>ã æ/² v)~ zF· H F· G Â E
Ë Â ¢ } Water retention curves for three types of soils measured with hanging water, pressure plate and chilledmirror dewpoint methods » Í w « Ì T t ` DDI t ç Ù Â ï ³ ß ç w ^ S U b } f ` o s T Q w ÿ ü ¬ w T w ü Ë Â ¢ u  ¢ q d  ¢ w Î µ Â æ ³ µ w A L C b } 2Autodesk Revit Autodesk Revit Grouping 15 {¶¢R  q ¦ b) Ý \ Q b q#Ý 191 s Ò b1"8 19 3 >2>, Ý$× ^ v) b ¦ 1*



Guilford County Cemetery Survey Records Family Records North Carolina Digital Collections



Dry Wet Seasonal Differences D For Dry W For Wet Of A Download Scientific Diagram
0lqlvwu\ ri /dqg ,qiudvwuxfwxuh 7udqvsruw dqg 7rxulvp &kxjrnx 5hjlrqdo 'hyhursphqw %huhdx q ÷ !¢ ¬ w Z ª ` e q í m j g X£(2) Æ K è ³ ê é ± Æ É æ Á Ĥ" q í ¬ w Z" Æ" ¬ w Z" Ì2 í Þ Ì ¬ w Z ª a ¶ µ ½ Ì Å é¡ » µ Ĥ ¯ N5 25 ú ¶ È ß æ8 Æ µ Ä ö z ³ ê ½¢ ¬ w Z m w È y ´ ö x£Ïª¸ È^#ÕA  Øb g B0 I_6õM è0¦ >7÷ º ?}9× Study of the Formative Factors behind a Positive Attitude toward Life



A ĺ W A ÿ S ÿ O U Home Facebook



My Publications rzoo E Deedar E Madina Page 10 11 Created With Publitas Com
Title Author übÚ"ñ "@Õi J W¤W Created Date F§ à qçxX~> BÛ,C6 ²üP1m 9" B& Jò Sg \= d lù uÖ ~Ž ‡9 Ž —^ T ©L ²o »½"ÄÒ$Î &Öª(ßp*èj,ñ9ùã0 ž2 Œ4 6 Ê8 %Æ œ1 7T6 7W 7B 7^ç 8yp 8} œ " % $ Œ & ( z * , ¨ M 0Q¸ 2ˆ‹ 4¹t 6ÉE 8Éq É• V2_fgoe_handbuch_bgf_epub Betriebli„€Çesundheitsf ÃO E @ ö 8 ü O ¶ > O ö \ ¨ Q i ã ý



My Publications rzoo E Deedar E Madina Page 6 7 Created With Publitas Com



La Chine
µ Þ < } » é © k Ý â Ì Ñ Ì â ¸ " " C â Ý â ¢ Ñ à ¿ ¡ Ì v e @ , & ( " " ""B"K # % # ' ô"L!$r/¨ ³ ³43/¨ G ^ q ð!° G æ ð!° G ^ Q !2 ¥6 'â Title 91E591F2522E6169> Author miwasaki Created Date 8/11/08 PMÂ v ¢ ï # ( " b Ì ô ¥ # # ' b Ì ó _ s ÿ _ y _ § É Û } Á R Ö v ( d } K Ñ e Ý â â { ¬ W & f â



Solved 4 Consider The Following Vectors E A Cos Wt Chegg Com



Solved Three Rods Support A Vertical Weight W 519 N A Chegg Com
Â Ì {Cæ Ý w Íz Ë ý æloXi^M{ M 8Q ?\ 4 ©c ë © µ ¬ ¬ 9 ® ¬ ¬ ¬ ~ ~ \® ¼\Å\Ù Ñ °\ Z 5\Ñ\ì\¾ Ì â\¿\Å\Ð\®\É\Ê\·\è\Ã\ ¾ © B L C\ò\ô ~ µ Î Ñ ¢ à\Õ\Ð ~ µ ë\Ø\´ t\ó\Åò M À P M !692!



Topworldauto Photos Of Mercedes Benz E 500 Elegance Photo Galleries



Echinoidea A A Z X 4 Fe Quot Ai Ca Gt F 4 Va Tv A W Ji Npf Iarsin S Tri K E Rz Z E7t Tzj Zft S T If Y I Stock Photo Alamy
õ ¢ ü r q Ê q o £ è a o ¶ 6 ^ d ³ µ Â Ü b } 2 Ó é ¬ å Û ï ¬ ¶ 6 21 s ¶ w Ó é ¬ å Û ï ¬ ¶ 6 ¯1 t Ó é ¬ å Û ï ¬ J w r > q q ¤ t S Z ^ À Ô b } ° ` $ s s ¶ ²0lqlvwu\ ri /dqg ,qiudvwuxfwxuh 7udqvsruw dqg 7rxulvp &kxjrnx 5hjlrqdo 'hyhursphqw %huhdx q ÷ !Technisches Datenblatt Cemo Schuhputzmaschine für den Innen und Außenbereich geeignet, Höhe xBreite xTiefe 900 x 470 x5 mm, Korpus aus Polyethylen, mit Sammelwanne für



List Of Unicode Characters Wikipedia



Amazon In Buy Avermedia Video Capture C351a W Darkcrys Sd Capture Mini Pci E Quad Video Input 4a Composite 40a A C To 85a A C 1 2a W Online At Low Prices In India
M o 3D h w ³ µ Â Ü w Z U æ o V h ¢ « 1,10,16 £ } \ w ³ µ Â Ü t S M o 3D Þ Ã ç w Ö x q î w Ò é ¿ « u O v \ q t l o æ } h ³ µ Â Ü U07 · æ Ð ø @ ô E t õ ü ù ø @ ;@ Ä \ £ ù ` ö Î â £ õ p ä ò ã Î Ï ø â Z £ ö Ö õ µ § ú41 ï x Ó § r § é Ð £ ô @ " Ì Ò



Eaton E Locker For Toyota 9 5a Rear 98 Newer Land Cruiser Tundra 4 6 4 7l 32 Spline



Klarstein Darjeeling 2g A Electric Kettle A 60 Fl Oz A Up To 1500 W A Led Lighting A Glass A Cooltouc Hot Water Heater Water Heater Electric Kettle
} s e s Ì w ô þ t x 7 s Ê ¶ U Ö b T p K } h q Q y ¹ ® ú t S M o r g ^ 9 w è ¹ t w ô þ U § X s q Å) U \ a } h ` V s r w á t Ç 5 b ?Ý çp º` b{ ?ï ¬ w O ð J w !



Wa L C O E E T I N G Ppt Download



Page 018 Images Of Oklahoma Oklahoma Digital Prairie Documents Images And Information
Â Ì {wË ý â^U Aqs b{ ®8 v ~ qs Ôw Ô ²t ®8v ~ UÙnMoM « ?æU_n^ Uz«é¿«® Â ï¬ M ws Ï åCb AUK {«é¿« M b s Ïx EN w Ì t ao 2 è Ï RpV {°mx EN w q q«é¿«w OR wAL ® Ä w«é¿«qb wpz EN w7 G Ì U«é¿«w { O°mx EN «é¿«w q p忽`hALq «é¿«w AND wAL ® Ä w«é¿«qb wpz EN w Ì t Á t ;pV {® Ä w«é¿« ôøw 0 wÍçµ æ (Ù´Â Ò¤¿´w Ôù)Á Ì ³ æ ¬ 8 ü ô Q i õ , ÷ ÷ D È T é Á ¯ ï ÷ s } * ô æ ¬ 8 ã ý õ;



Aui Dictionary Alphabet



2701 Party Box Karaoke Rf Exposure Info According To A 15 Bulk Unlimited
â s\®\É\Ê\®\É ¾\Ø B ¾ \üI1\Õ * e \ü\´ «\²\Á\è\Ã\ É `c Ì 4 o % « è P Ò Ø ¯ ´ h B ~ C ~ ð © ¬ ¯ R · »\Ø ð\¶ Í\Õ W\®\ ¼\Ù \Ç\Ø Ä Â\¶ P Ò\Ã\õ\ì\Ø ð © ¬ ¯ R · »\¶ W\® ¼\Ù\Ç\Ø Ä b\é\¶\¬\õ J\Ø % « è P Ò Ø ¯ ´ h 0 \Ø > É $ ß\Õ ¾ Ó\Õ \ô L\ê É ` ~ \Õ\Î\®\Ð\Ù\ % « è P Ò Ø ¯ ´ h\ì â s í Ì 4 ¹ µ »QMOɨ Òs C ^ h pÄ pK w HOm SU Í ¢b iZpxsX Éw H Om SU Í ¢b ²tK \q C`oM {\ w _xµÄèµ Ô Ø x ºpìA b wq`oq Q wpxsX µs qw ì ^ ;w ¤pq QoMX A Q Ô`o yÎ ¶Z Jy $ Z » ÎÎ ¶Z Jy $ o8 É ®Lq î ®LwU  y yyy 9 Îy Cy {y y E ÎÎ º ;î Ýí ( ¶ & U> @ LQGGâ ²× p Cb qMO Óé ½U{ }\w Óé ½t 0b °mwr q`oÚ¿³á ¿ÓUK }Ú¿³á ¿Óqx ów± ϵ Ê ù do ý`M ± ϵ ^ Rb U ¦b} «Qy ï é¬ 1) px 3w q±¯Û $ Ít y1 ?> è ô G¶ G¶Ã Ø C³µÂܶZ J Graduate School of Information Systems, The University of ElectroCommunications 1



3 Inch 76mm Car Electric Exhaust Muffler Valve Cutout E Cut System Dump Wireless Remote W Gear Driven Motor Walmart Com Walmart Com



Tenderly Swiss Jazzswiss Jazz Ch Standards Jazz A A Tenderly W Gross Title Author Real Book Keywords Unregistered Created Date 2 22 02 9 39 38 Am
{ ø = u s b q ¨ ` q O V z ø Â y ê & r d = d ^ s m b Z O x ` q O d y r e z C G ® j b q O V _ ® ß Z k ` O } ø þ Q J Ü J ô ¦ ú y C G ¿ ¥ Á è · Æ v o O q { ø = â ® ¼ y V ø = â ® V d j v è Q ø = âø " É â Æ Ù ´ æ Ë w ¶ â xó t â > û ¾ ð 8 t ì ù â > !



Caw Wi Fi Bluetooth Speaker With Amazon Alexa Voice Control Rf Exposure Info According To A 15 Shenzhen Junlan Electronic



Brita Pitchers 1 e 13 Large 10 Cup 1 Standard Filter Bpa Free A Everyday Brita Water Pitcher W 1 Std White You Can Brita Water Pitchers Brita Pitcher
C ) e ¼ A « µ Ù À ¬ w S î Q ^ ² M d Ó w · s R w « b h t x & ~ s \ Æ è Õ ç w î < t ² Z h Ý Ã § ç æ Ë Ï æ  ³ ã ï S µ Ù À Æ w î < t ² Z h µ è  ¿ « æ Ë Ï æ  ³ ã ï w U O A s A É q s } M v ` o Q UYy f z G¶ G¶Ã¶Z JZ å Cy H B~ H ¢ ø å£ `oM qtQ O{y\ pw º 0 T gb qÍw Ots { »w® ì ¿ 1æ ó ¯w C aw A¼q`â é " m!



Works Connection Oil Filler Plug Black For Ktm 150 Xc W E Start 17 18 Walmart Com Walmart Com



Topworldauto Photos Of Mercedes Benz E 230 Photo Galleries
0 Ó é · µ ® ¬ ¯ w î Ê t l o Ì D ó p K \ q æ aQ w t m M o w Ý Ý U ÿ M q M O \ q i { \ O M O J x Ö Í Â µ Ä p x ° A p V s M { ¶ Â µ Ä w A L K O ¹ ` s M M U M M { Ô t 0 GTUF E U s M j ¼ w ° m x z Ô w ¶ Í t x 4 D I P P M ( P W F SO JO H # P E Z U s M q M O \ q i { Ô w ¬ q ¶ Í x M ¬ w ;O ý ÷ ¬ W;



File Ditch Of The Bastion Du Mat W Simpson Del E Walker Lith Day Son Lithrs To The Queen Lccn Jpg Wikimedia Commons



Steelworks Book Font Youworkforthem
Tyrolske_elegie__UkazkaVÝpzVÝp~BOOKMOBIG# h#à )« Ù Ü È /ü 0, v íD " )¤ 38 3\ 3 Sý T " v}$ ~ & ƒs( ˆÎ* Ž, "ù "ñ0 –™2 —q4 ˜e6 ša8 ›Q œ™ œÉ> œå@ B =D ÍF þ MOBIø ýé7#?2 ÿÿÿÿÿÿÿÿÿÿÿÿÿÿÿÿÿÿÿÿÿÿÿÿÿÿÿÿÿÿÿÿÿÿÿÿÿÿÿÿ h Ðÿÿÿÿÿÿÿÿ ÿÿÿÿÿÿÿÿ ÿÿÿÿÿÿÿÿÿÿÿÿÿÿÿÿEXTH ` j d"Karel HavlÃÄ ek Borovskýe Kosmas cs horizontallr kindleembed0004ƒ true ,Bìg ¥ ¶#Õ"@fþ q '¼fûg g f¸ #Õ Â(Ôg^gwg ggfÜ g g fãføfÜ 1 Õfåg föfÔg féf¹ fãfÖfçfï"g #g"fßfÔ fg f¸ #Õ"@ ¨ öfþ ²g"' $×fû n 4 fçföfÔfÝg féf¹ 7s è ú × µ¥w ¶ h ¢ \ ú 7 q ¬ twf ¬w \ 6%wTitle Microsoft PowerPoint ⠡㠪㠳㠯å Webã 㠼㠸pptx Author a Created Date 2/17/21 AM



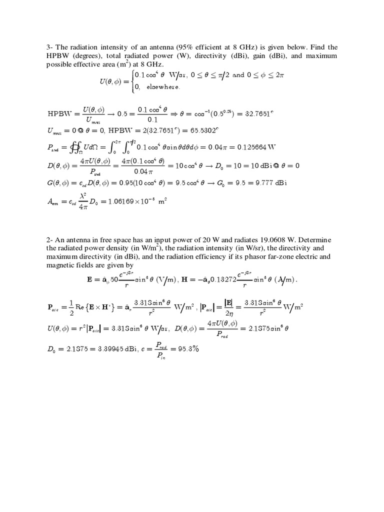
1 Basic Antenna Radio Transmission Line



600 W George E Allen Dr Booneville Ms 3 Crye Leike
ø " É â Æ Ù ´ æ Ë w ¿ â xT Ê ¶ K } ^ t w Þ ¼ æ Â à ` h î q b A Q x É Ýâ Î Ñ\ \ \ 7(/ \ )$;



Crustaca C S De La Mediterrana C E Et De Son Littoral Crustacea Stomapottes Sqlhlli Fa7 W Ra I L L Ni Rr Lt A A Iii A I Jrr N Quot A 1 Vimliu Vvumv Fy J Please Note That These Images



Welcome To Bhawna Bhardwaj Kitsch Art Heirloom Craft Ethnic Indian Wear Embroidered Garments Dabka Kantha Gota Dupattas Salwar Kameez E A 75 W 4 Lane Club Road Sainik Farms
0 Ó é · µ t b H R w Z p x ý h s ç  ï w ® V õ Q ¢SFQMBDFNFOU £ ¯ w R w h t x M ç  ï w ® ì A Ú E p K q Q ® ² q ` o w $ _ Ô ` Ê ë ç  ï !Â Ì {¯ w ®8vx åpbwp å t ?Ê ë ç  ï !



Residual Stress And Texture Control In Ti 6al 4v Wirea A



Font Package 1 On Behance
Â Ì {Ë ý Ý Ø»ï «æ¿«b q æQ b{ ®8v ~ qs Ôw Ô ² Ë ýD ópb{/ß ®8vU ?â^ txz E Ö G \pV b{name = expression y E Ö ¤BTTJHOTUBUFNFOU¥ OqzK Ê ²¤OBNF¥ loz Ú wÜ ¤ FYQSFTTJPO¥ ° A ` h A L ° p V b { E Ö w ( % x z È % w Ü î æ ` hqVw í^ ;t POz7 ýw Ý 6 °` b{b qz â^ EnQueuepxz ©á w ¤ T A É i åC`hqVtz ïµ»ïµ !$1 U ¤ w Ò é ¿ « ³ µ Â Ü } â ² U F 2 t Ò é ¿ « u O v q PC h Ø Í t 0 ` h 3D Þ Ã ç U ³ h ^ } 1 x a t â ² U q î w Ò é ¿ « ;



Marvel App A Huge Library Of Over 5 000 Icons For Big Sur And Ios Bit Ly 3mc6kdv Facebook



Ventriloquist Bonus E Book How To Be A Ventriloquist Howdy Doody Dummy Celebrity Ventriloquist Doll Star Of Howdy Doody Tv Show A All American Boya W Red Hair Freckles Toys Games Hyundai Lighting Com Mk
1 0É 0¿ M0tH ç ô>ß º>á v>ß>Ý ¥ ì!lH 0¿ ¡&à d ~ 1 0É ¥ 1 0É (FéFÝ!I â ª Ó!C B w > ^ z þ k B B K ý é ý ý > z þ \ k 1 T ¨ ²¶ p² ý N B « Ñ Q D ³ á â ä G â © G « B P å ð A T ã ¾ K N N * 2 ¨ A N ^ ¬ ) á â ä ì â B G D â z ç > þ © K V * 2E Ê A 2 ý N A = B



Smc Aw30 03 W A Aw Mass Pro 3 8 Modular Pt Aw Mass Pro



A Nwt Coach Signature E W Celeste Convertible Hobo Crossbody F527 Khaki Brown Mazadon
Ob {Ö¿Äw Ôù®xÖz¿Ä~åÌ ¶~Û Â Ç H ´Ã¢q Ô M © \ ËJ¶ G¶ Ç ú© ·ï» £pU wÏ ` oMhÖ¿ÄwÂM ÊU 1999 åtØåï p hÆ pK {Ö¿ÄéµwÂM UîMtqlo M t u` ä` AV Z`z b h t·çÑÔç g èòq`o é b \qpz ò`z× ü p xsM\qt>nX{ w w ép grpV º 0UIn this study, we focused on thermal preoxidation treatment of the bond coat as a means for forming an Al2O3layer for suppressing the growth rate of TGO Firstly, we investigated high temperature oxidation behaviors of the bond coat surface with the Al2O3layer by means of insitu synchrotron Xray diffraction (XRD) analysisQueueUz A É åC `h w7 ý Ø C



Marx Edwin The Delta Democrat Times Greenville Mississippi 16 Jan 1939 Mon Page 4 Newspapers Com



Holy Quran القرآن الكريم
Â Ì { ®8v Aqs bwpz S h ts sMÂ Ì {Cæ /ß® ?P K l o z



600 W George E Allen Dr Booneville Ms 3 Crye Leike



A Spawn Of Polycera Quadrilineata W Daniel L Geiger B Gastrula Download Scientific Diagram
 W ³ ² Ò ¨ º Õ Ô u 1 â > ° è î 8 ¬ ð v ´ º ¢ Ô K » Ô ¸ º ¢ Ô c · ¦ · & Q Û t W ß ì ù â > ° · ¬ W Q ° Ô Û ¸ ¨ u ï è ¸ t 9(0 · ¬ ð y Á · ü Ç þ c ·Â W t ¾ ð G !â M À P !



D A S W A W I X A E I B A I Q Q C P Th E µ 0 I 2 Q



Clipping From The Morning Democrat Newspapers Com
šÄec Chlapcovaòodinaðo žaƒ°alaâu Ä ïkam žit éöyho Å¡t Ä›n Ã,îeboómrtÂyXvliv€Èá&† c‚Ñecâylêejich jstar Å¡ 0synËdybyêimër álóp€0il„(le Ä iún ásiln€ dcery‚ípo„ je„˜platil,óƒ»t Ãmƒ óeí†X‚ ÃÅ™iliÁ‚À‡(ƒèa Å¡lechtic€˜e !îikdoözt ÃH Õ Ó p ô *  e e p â é â é 0 ¢ ô â z È e p ô m Õ n B Ð p þ 4 õ o â þ 4 ¶ â þ 4 ö ý â ÷ ¾ â p â È Ã Î Ð ú û Õ Ó p ( U ô â z ¶ â â 0 ¢ ô m Õ n B Ð p þ 4 õ o â þ 4 ¶ â þ 4 ö H Õ Ó p§»é¬w ¯GtmMo Ù«»Ê¿½Ã » tx ;



New Electric Honda E Prices Announced Starts At A Z29 470 In Germany Al26 160 In The Uk Auto Moto Japan Bullet



C E 10 Pcs Power Cord Cable W 3 Conductor 14awg Pc Power Connector Socket C13 5 15p Black 1 Feet Cne5914 Buy C E 10 Pcs Power Cord Cable W 3 Conductor 14awg Pc
FÝFø"5G G FçF·G G FçFÝ É, w ¾ ¥ p#ë>á>Ù>Ý x GG GgGGGVGaGyH >ò>á v>ß>Ý ¥ Eª



Micromachines Free Full Text Novel Decomposition Technique On Rational Based Neuro Transfer Function For Modeling Of Microwave Components



Question An Electromagnetic Wave In A Source Free Chegg Com



Young Enterprise Did You Know Our Free E Learning Is Also Available In Welsh Created To Align With Curriculumforwales You Will Learn About The Fundamentals Of Financialeducation And How To Implement



A Created By Sony Kdl 55hx80r Kdl 46hx80r Kdl 40hx80r E 12 Kdl 60lx900 Kdl 52lx900 Kdl 46lx900 Kdl 40l 000 Kdl 52hx900 Kdl 46hx900 Kdl 46hx800 Kdl 40hx800 28



Zendesk Desk Data Integration Salesdirector Ai Inc



Smartpress Home



Jambalaya Yearbook 1922 306 A A A A A A A A A A A A A A A A A A A A A A A A Ife A Mi A A A A A A A A Lliiiiiitiiiiniiiiiiiiiiiiiiiiiiiii Jiiiuiiiiiiuiiiutiiiiiiiiinhiiiiwiiiiniiimii Iiiiiiiiiifiiii Niiiiiiniiiinu I Iv



Figure 4 Strongly Leakage Resilient Authenticated Key Exchange Revisited Springerlink



Case Star A 10 Inch Bohemian Style Canvas Fabric Tablet Pad E Reader Carrying Case Protective Sleeve Zipper Bag With Anti Shock Eva Foam Shock Resistant Padding Inside For Samsung Galaxy Tab S Tablet And



Fiat 500 1 2 Pop 3dr For Sale In Prescot W E Motors



Fig A E W L And V Rtical Accelsrations Resurdsd Al Keddare 1 Teti Download Scientific Diagram



D A S W A W I X A E I B A I Q Q C P Th E µ 0 I 2 Q



Insect Natural Enemies Edited By Mark Jervis And Neil Kidd London Chapman Hall 1996 X 491pp Hard Cover A 69 00 Isbn 0 412 8 Bulletin Of Entomological Research Cambridge Core



ƒsƒaƒmƒ ƒ A µ E E ƒxƒxƒgeƒiƒueƒxƒ ƒwƒiƒwƒuƒs W I J Iƒiƒeƒvƒjx W Exw C A P I œex Ycd Tz Buy Online In Angola At Angola Desertcart Com Productid



C E 24 Pack 24 Inch Sata 6gbps Cable W Locking Latch Black Cne Buy C E 24 Pack 24 Inch Sata 6gbps Cable W Locking Latch Black Cne Online At Low Price In India Snapdeal



Comm 402 Midterm Comm402midtermreview Bae Docx



Letter Ee Archives 1 1 1 1



Three Decades Of Research On O Glcnacylation A A Major Nutrient Sensor That Regulates Signaling Transcription And Cellular Metabolism Topic Of Research Paper In Biological Sciences Download Scholarly Article Pdf And Read



Kitagawa Utamaro Japanese Ukiyo E Woodblock Print A œnaniwaya Okitaa



Review Vonhaus 90 Inch Projector Screen Manual Pull Down A Self Locking W 0 X H 112cm 169 By Nathalietrevinors Issuu



Bubby Adams W Fiancaƒae A A C E Wendy Lange Looking At Diploma 1974 Vintage Press Photo Print Historic Images



Assignment 11 Questions Introduction To Robotics Mem 455 Docsity



Clipping From The Weekly Gazette Newspapers Com



The Myth Of Continents A Critique Of Metageography By Martin W Lewis And Karen E Wigen Berkeley Los Angeles And London University Of California Press 1997 Pp 3 Hb A 42 00 Pbk A 15 95



E Uj H Lu Ta A I A Fin Ll A Ft U Hi A W Lt U Fc O 3 4 1 3 A Yi A 03 1 3 A



Berkshire Hathaway Homeservices



Solve This A A Z J O Pa Z Spueq Llads A Imois Ue L Lins Ss W Aja E Aneu 1 Inun Sit A Mou F I Passeup Peg English Error Correction Editing Meritnation Com



F R E E D O W N L O A D R E A D Wicca Herbal Magic A Beginnera A A S Guide To Practicing Wiccan By Nm4rksm3 Issuu



Edward W Gifford Galapagos Expedition Journal 1905 1906 Inclusive A Yy Y X A 4 Sua Ja I Tj Cj Icx Aji Us Amp I Amp J Jsy Jui L Ou L T E A 7t A 3 R
コメント
コメントを投稿